醋酸丁酸纤维素

来源:中颜网    日期: 2021-02-01 08:57:06    浏览次数:373

醋酸丁酸纤维素

用于制作高透明度、耐候性好的塑料片基、薄膜和各种涂料的流平剂、成膜物质等。丁酰基含量增加则使其密度降低,溶解范围扩大。含乙酰基12%~15%,丁酰基26%~29%。透明或不透明粒料,质坚韧,耐候及耐寒性好。
中文名:醋酸丁酸纤维素              分 子 式:  C4H8O2XC2H4O2X                       分 子 量:318.233              熔    点:195 ℃

简介


中文名称:醋酸丁酸纤维素
中文别名:纤维醋丁酯
英文名称:Cellulose acetate butyrate,简称CAB
英文别名:cellaburateCAS
RN:9004-36-8
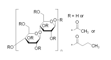
分子结构式:
分 子 式:C4H8O2XC2H4O2X
分 子 量:318.233
熔点:195-205℃ [2] 
密度1.15~1.22g/cm3 [2] 

物理化学性质


用于制作高透明度、耐候性好的塑料片基、薄膜和各种涂料的流平剂、成膜物质等。CAB [3]  的分子中除羟基、乙酰基外还含有丁酰基,其性能与三种基团的含量有关。熔点和拉伸强度随乙酰基含量增高而变大,与增塑剂的相容性和薄膜的柔性在一定范围内随乙酰基含量降低而增加。羟基含量增加促进其在极性溶剂中的溶解度。丁酰基含量增加则使其密度降低,溶解范围扩大。含乙酰基12%~15%,丁酰基26%~29%。透明或不透明粒料,质坚韧,耐候及耐寒性好。熔融温度140℃。密度1.15~1.22g/cm3。拉伸强度14~52MPa,弯曲模量621~2070MPa,悬臂梁缺口冲击强度53~580J/m,洛氏硬度R31~116。热变形温度45~94℃。

制备方法


醋酸经高温裂解法制成醋酐。醋酐与丁酸以酸酐交换法制成丁酐。利用精制棉短绒以硫酸为触媒,醋酸、丁酸为溶剂与醋丁酐进行均相酯化反应即得粗制品,再经水解、中和、沉析、水洗、蒸煮、干燥得最终成品醋酸丁酸纤维素。

用途


它具有优良抗湿,耐紫外光、耐寒、柔韧、透明、电绝缘等性能,并能与树脂和高沸点增塑剂有较好的相容性,可制电影片基、空中摄影片基、薄膜、油田天然气等输送管道、工具手柄、汽车、飞机的玻璃灯、地下电话线和电缆管、方向盘、标牌面、闪光反射器等,此外还能做可剥涂料、绝缘漆、耐候高档漆和人造纤维


免责声明:本文来自百度咨讯,不代表中颜网的观点和立场



我的移动端